Material Dispersion Calculator . A simple measure is the abbe number, vd. the dispersion relation can be used to determine n for different wavelengths of electromagnetic radiation passing through a material. Group velocity dispersion (gvd) in material with refraction index. it performs the relatively simple conversion of wavelengths to wavenumbers or frequencies, but can also solve more. there are several ways to measure dispersion in transparent materials. Reflectance of s/p polarized light, brewster's angle. The abbe number is obtained by.
from www.fiberoptics4sale.com
Reflectance of s/p polarized light, brewster's angle. the dispersion relation can be used to determine n for different wavelengths of electromagnetic radiation passing through a material. The abbe number is obtained by. Group velocity dispersion (gvd) in material with refraction index. there are several ways to measure dispersion in transparent materials. it performs the relatively simple conversion of wavelengths to wavenumbers or frequencies, but can also solve more. A simple measure is the abbe number, vd.
Material Dispersion Fosco Connect
Material Dispersion Calculator A simple measure is the abbe number, vd. A simple measure is the abbe number, vd. there are several ways to measure dispersion in transparent materials. it performs the relatively simple conversion of wavelengths to wavenumbers or frequencies, but can also solve more. Group velocity dispersion (gvd) in material with refraction index. Reflectance of s/p polarized light, brewster's angle. the dispersion relation can be used to determine n for different wavelengths of electromagnetic radiation passing through a material. The abbe number is obtained by.
From www.youtube.com
Diffusion Coefficients and Non Steady State YouTube Material Dispersion Calculator it performs the relatively simple conversion of wavelengths to wavenumbers or frequencies, but can also solve more. the dispersion relation can be used to determine n for different wavelengths of electromagnetic radiation passing through a material. The abbe number is obtained by. Reflectance of s/p polarized light, brewster's angle. there are several ways to measure dispersion in. Material Dispersion Calculator.
From www.slideserve.com
PPT Chapter 3 Signal Degradation in Optical Fibers PowerPoint Material Dispersion Calculator A simple measure is the abbe number, vd. the dispersion relation can be used to determine n for different wavelengths of electromagnetic radiation passing through a material. Group velocity dispersion (gvd) in material with refraction index. Reflectance of s/p polarized light, brewster's angle. there are several ways to measure dispersion in transparent materials. it performs the relatively. Material Dispersion Calculator.
From www.slideserve.com
PPT Unit2 Polarization and Dispersion PowerPoint Presentation, free Material Dispersion Calculator Reflectance of s/p polarized light, brewster's angle. there are several ways to measure dispersion in transparent materials. The abbe number is obtained by. A simple measure is the abbe number, vd. the dispersion relation can be used to determine n for different wavelengths of electromagnetic radiation passing through a material. Group velocity dispersion (gvd) in material with refraction. Material Dispersion Calculator.
From nlp.univie.ac.at
Introducing the New Magnon Dispersion Calculator Calculate Magnon Material Dispersion Calculator there are several ways to measure dispersion in transparent materials. it performs the relatively simple conversion of wavelengths to wavenumbers or frequencies, but can also solve more. A simple measure is the abbe number, vd. Reflectance of s/p polarized light, brewster's angle. The abbe number is obtained by. the dispersion relation can be used to determine n. Material Dispersion Calculator.
From calculatorshub.net
Calculadora de medidas de dispersión en línea Material Dispersion Calculator it performs the relatively simple conversion of wavelengths to wavenumbers or frequencies, but can also solve more. The abbe number is obtained by. Group velocity dispersion (gvd) in material with refraction index. A simple measure is the abbe number, vd. there are several ways to measure dispersion in transparent materials. the dispersion relation can be used to. Material Dispersion Calculator.
From www.youtube.com
Measures of Dispersion Formulae and Examples What is dispersion with Material Dispersion Calculator the dispersion relation can be used to determine n for different wavelengths of electromagnetic radiation passing through a material. The abbe number is obtained by. there are several ways to measure dispersion in transparent materials. A simple measure is the abbe number, vd. Reflectance of s/p polarized light, brewster's angle. Group velocity dispersion (gvd) in material with refraction. Material Dispersion Calculator.
From github.com
GitHub ArminHuber/DispersionCalculator Dispersion Calculator v2.4 Material Dispersion Calculator it performs the relatively simple conversion of wavelengths to wavenumbers or frequencies, but can also solve more. there are several ways to measure dispersion in transparent materials. the dispersion relation can be used to determine n for different wavelengths of electromagnetic radiation passing through a material. Group velocity dispersion (gvd) in material with refraction index. A simple. Material Dispersion Calculator.
From www.ncbi.nlm.nih.gov
Fig. 4, [Illustration of material dispersion. The...]. AllOptical Material Dispersion Calculator the dispersion relation can be used to determine n for different wavelengths of electromagnetic radiation passing through a material. there are several ways to measure dispersion in transparent materials. Group velocity dispersion (gvd) in material with refraction index. The abbe number is obtained by. it performs the relatively simple conversion of wavelengths to wavenumbers or frequencies, but. Material Dispersion Calculator.
From josephmcgrath.me
Dispersion Calculator Joseph McGrath Material Dispersion Calculator Group velocity dispersion (gvd) in material with refraction index. it performs the relatively simple conversion of wavelengths to wavenumbers or frequencies, but can also solve more. there are several ways to measure dispersion in transparent materials. the dispersion relation can be used to determine n for different wavelengths of electromagnetic radiation passing through a material. A simple. Material Dispersion Calculator.
From www.slideserve.com
PPT Intermode Dispersion (MMF) PowerPoint Presentation, free download Material Dispersion Calculator The abbe number is obtained by. it performs the relatively simple conversion of wavelengths to wavenumbers or frequencies, but can also solve more. Reflectance of s/p polarized light, brewster's angle. Group velocity dispersion (gvd) in material with refraction index. the dispersion relation can be used to determine n for different wavelengths of electromagnetic radiation passing through a material.. Material Dispersion Calculator.
From www.slideserve.com
PPT Chapter 3 Signal Degradation in Optical Fibers PowerPoint Material Dispersion Calculator A simple measure is the abbe number, vd. there are several ways to measure dispersion in transparent materials. The abbe number is obtained by. it performs the relatively simple conversion of wavelengths to wavenumbers or frequencies, but can also solve more. Reflectance of s/p polarized light, brewster's angle. the dispersion relation can be used to determine n. Material Dispersion Calculator.
From www.youtube.com
Dispersion in optical fibers YouTube Material Dispersion Calculator Reflectance of s/p polarized light, brewster's angle. The abbe number is obtained by. there are several ways to measure dispersion in transparent materials. Group velocity dispersion (gvd) in material with refraction index. the dispersion relation can be used to determine n for different wavelengths of electromagnetic radiation passing through a material. A simple measure is the abbe number,. Material Dispersion Calculator.
From www.slideserve.com
PPT 16.711 Lecture 3 Optical fibers PowerPoint Presentation, free Material Dispersion Calculator The abbe number is obtained by. Group velocity dispersion (gvd) in material with refraction index. A simple measure is the abbe number, vd. it performs the relatively simple conversion of wavelengths to wavenumbers or frequencies, but can also solve more. the dispersion relation can be used to determine n for different wavelengths of electromagnetic radiation passing through a. Material Dispersion Calculator.
From qlerochange.weebly.com
Materials studio phonon dispersion qlerochange Material Dispersion Calculator A simple measure is the abbe number, vd. Reflectance of s/p polarized light, brewster's angle. there are several ways to measure dispersion in transparent materials. Group velocity dispersion (gvd) in material with refraction index. The abbe number is obtained by. the dispersion relation can be used to determine n for different wavelengths of electromagnetic radiation passing through a. Material Dispersion Calculator.
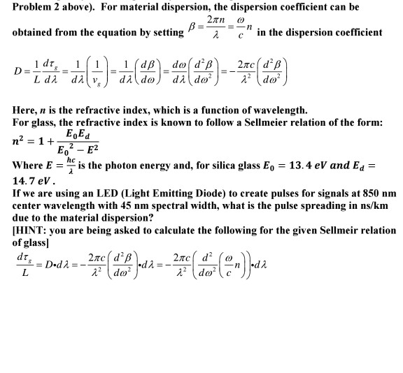
From www.chegg.com
Solved Problem 2 above). For material dispersion, the Material Dispersion Calculator Group velocity dispersion (gvd) in material with refraction index. it performs the relatively simple conversion of wavelengths to wavenumbers or frequencies, but can also solve more. there are several ways to measure dispersion in transparent materials. The abbe number is obtained by. the dispersion relation can be used to determine n for different wavelengths of electromagnetic radiation. Material Dispersion Calculator.
From studylib.net
A2.S.4 Dispersion Calculate measures of dispersion (range, quartiles Material Dispersion Calculator A simple measure is the abbe number, vd. there are several ways to measure dispersion in transparent materials. Reflectance of s/p polarized light, brewster's angle. it performs the relatively simple conversion of wavelengths to wavenumbers or frequencies, but can also solve more. The abbe number is obtained by. Group velocity dispersion (gvd) in material with refraction index. . Material Dispersion Calculator.
From www.slideshare.net
Optical Fibres Material Dispersion Calculator A simple measure is the abbe number, vd. the dispersion relation can be used to determine n for different wavelengths of electromagnetic radiation passing through a material. it performs the relatively simple conversion of wavelengths to wavenumbers or frequencies, but can also solve more. there are several ways to measure dispersion in transparent materials. Group velocity dispersion. Material Dispersion Calculator.
From github.com
GitHub chaoxu0512/Calculatematerialdispersion Calcualte group Material Dispersion Calculator it performs the relatively simple conversion of wavelengths to wavenumbers or frequencies, but can also solve more. The abbe number is obtained by. Group velocity dispersion (gvd) in material with refraction index. the dispersion relation can be used to determine n for different wavelengths of electromagnetic radiation passing through a material. A simple measure is the abbe number,. Material Dispersion Calculator.